Blog·Thoughts, notes, and documentation
Talk to my blog
Ask me anything about these posts — what I wrote, how something works, or where to find a topic.
← All posts
Qualitative Research - Week 8 - Class Notes

Intense class - amazing discussions about propositions, grounded theory and validity. What convinces you that a claim is ‘true’. At one point in the discussion I suggested to discuss the validity of God - got a good laugh out of the classroom.

Some class notes:

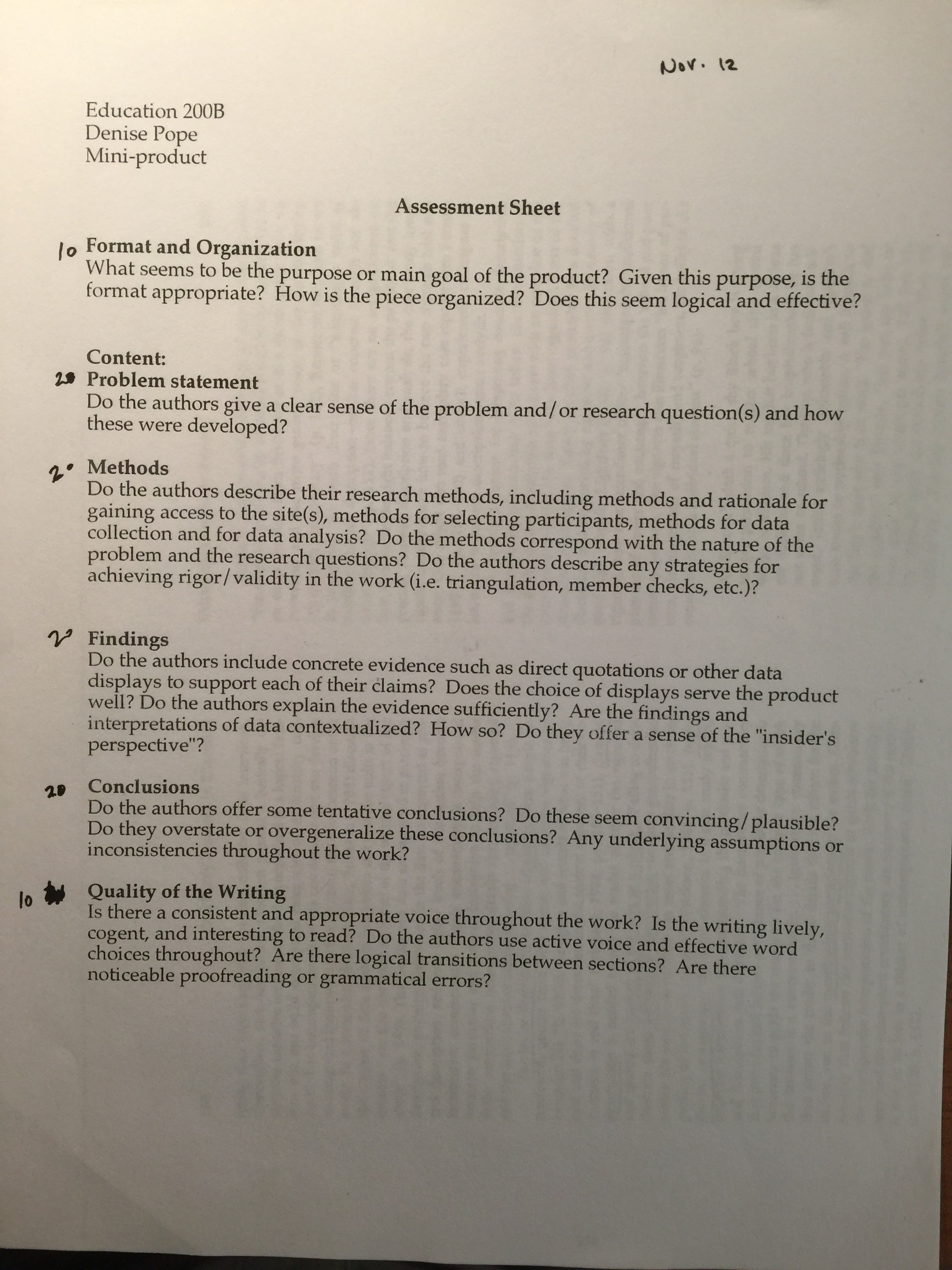
Also got a ton of paper today.

Reading for class discussions:
[gallery type=“slideshow” size=“full” ids=“2380,2383,2382,2381”]